Finanční ukazatele a jak s nimi pracovat. Odhalte problém dřív, než bude pozdě
Finanční údaje zaznamenané v účetnictví jsou obrazem všeho, co se v podniku děje. Alespoň pokud jde o byznys. Samy o sobě jsou však dost nepřehledné a většinou i rozsáhlé. Proto z nich počítáme finanční ukazatele, které mohou při řízení podniku hodně pomoci. Jen se musí používat dobře a s rozmyslem. V rámci seriálu Jak na podnikání se dnes seznámíme s těmi nejdůležitějšími a ukážeme si, o čem vypovídají a jak s nimi pracovat.
Finanční ukazatele: Co se v textu dozvíte
K čemu slouží finanční výkazy
Zdrojem dat, která potřebujeme k výpočtu finančních ukazatelů, jsou účetní výkazy. Proto je dobré alespoň rámcově rozumět jejich obsahu a vztahům. Základními výkazy jsou rozvaha, výsledovka a výkaz Cash Flow.
Rozvaha ukazuje strukturu majetku a zdroje, díky kterým byl pořízen. Výsledovka dává do vzájemných souvislostí náklady a výnosy, ze kterých pak můžeme vypočítat výsledek hospodaření. A nakonec výkaz Cash Flow zobrazuje příjmy a výdaje, tedy reálné toky peněz v podniku. Následující obrázek přehledně zachycuje, jak jsou na sebe výkazy navázané:
Horizontální a vertikální analýza
Jedněmi z nejjednodušších postupů při analýze finančních výkazů jsou horizontální a vertikální analýza.
Horizontální analýza porovnává jednotlivé položky výkazů a jejich vývoj v čase, tedy s předchozími roky nebo s jiným časovým úsekem. Jeden rok určíme jako základnu a počítáme meziroční procentní změny.
Vertikální analýza určuje procentní podíl jednotlivých položek na celku. U rozvahy je to obvykle bilanční suma (součet celkových aktiv/pasiv), ve výsledovce to může být podíl nákladové položky na celkových nákladech nebo konkrétního výnosu na celkových výnosech.
Z horizontální a vertikální analýzy můžeme rychle odhalit klíčové změny, se kterými je potřeba pracovat. Roste neúnosně nějaká nákladová položka, takže se zvyšuje její podíl na celkových nákladech? Klesají meziročně už několik let tržby z určité skupiny produktů nebo služeb? Roste zadlužení? Klesá systematicky hotovost na účtech? Pak je třeba přijmout odpovídající opatření.
Ukazatele rentability
Ukazatele rentability vždy poměřují zisk se zdroji, které byly k jeho dosažení potřeba. Platí tedy základní vztah – čím větší, tím lepší. Rentabilita libovolného typu by měla meziročně růst, nebo být alespoň stabilní, a měla by být vyšší, než jaké dosahuje konkurence ve stejném odvětví.
Zisk pro výpočet může mít různou podobu, ale aby byly ukazatele rentability dlouhodobě porovnatelné mezi sebou, měli bychom používat stále stejný koncept, nejlépe takový, se kterým pracují odvětvové statistiky. Základním vstupem je čistý zisk, tedy zisk po zdanění, někdy se ale může hodit jiný typ zisku:
- zisk před zdaněním (EBT),
- zisk před úroky a zdaněním (EBIT),
- zisk před úroky, zdaněním a amortizaci (EBITA),
- zisk před úroky, zdaněním, amortizací a odpisy (EBITDA).
Pro korektní výpočet by měla být hodnota zdroje kladná, zisk může být kladný i záporný (ztráta). Rentabilitu pak můžeme číst velmi jednoduše: „Kolik korun [doplňte zdroj] bylo potřeba k vygenerování jedné koruny zisku.“
Tyto typy rentability jsou zajímavé z hlediska hodnocení byznysu i pro posouzení životaschopnosti podnikatelského záměru:
- rentabilita vlastního kapitálu = zisk / vlastní kapitál
- rentabilita aktiv = zisk / celková aktiva
- rentabilita dlouhodobého kapitálu = zisk / (dlouhodobé závazky + vlastní kapitál)
- rentabilita tržeb = zisk / tržby
- rentabilita nákladů = zisk / celkové náklady
Ukazatele likvidity
Likvidita měří schopnost podniku pokrýt svými finančními zdroji krátkodobé závazky. Je asi celkem logické, že by podnik měl mít určitou finanční zásobu, aby mohl svým věřitelům (například dodavatelům) platit za zboží a služby.
V případě, že peníze dlouhodobě ubývají nebo je jich velmi málo, vystavuje se firma riziku insolvence. Jedna neproplacená nebo pozdě zaplacená faktura od zákazníka a tím způsobený nedostatek peněz na účtu pak může mít fatální následky v podobě druhotné platební neschopnosti, poškozené reputace nebo dokonce krachu.
Jak na podnikání
Finmag.cz přináší seriál Jak na podnikání. Věnujeme se v něm tématům, která podnikatele trápí: od vývoje produktu přes marketing až po byrokratické berličky typu ESG, NIS2 nebo tolik potřebné CSR. Neopomineme samozřejmě ani daně, otázky personalistiky a samotný obchod. Rozebereme například i možnosti expanze do zahraničí. Pokud ještě nepodnikáte, máme pro vás jinou sérii nazvanou Jak začít podnikat. A nebo rovnou celý speciál, který vás začátky podnikání detailně provede.
Likvidita se obvykle měří ve třech úrovních. Okamžitá likvidita zohledňuje pouze hotovost, tedy peníze v pokladně a na bankovních účtech a doporučené hodnoty jsou v rozmezí od 0,2 do 0,5. Pohotová likvidita pracuje se všemi oběžnými aktivy kromě zásob a měla by se pohybovat okolo 1. Běžná likvidita, která počítá se všemi oběžními aktivy, by měla být mezi 1,5 a 2.
To sice říká teorie, ale v praxi je mnohem důležitější, aby byla situace stabilní, žádné z čísel dlouhodobě neklesalo a nedocházelo ani k nedostatku, ani ke zbytečnému hromadění oběžných aktiv v libovolné podobě.
V podstatě se dá říct, že likvidita okolo doporučených hodnot zajišťuje podniku, že bude mít dost peněz na splácení faktur dodavatelům, vyplácení mezd a zajištění běžného provozu.
- okamžitá likvidita = (peníze v pokladně a v bance) / krátkodobé závazky
- pohotová likvidita = (oběžná aktiva – zásoby) / krátkodobé závazky
- běžná likvidita = oběžná aktiva / krátkodobé závazky
Ukazatele zadluženosti
Ukazatele zadluženosti patří ke spíše dlouhodobě sledovaným indikátorům, které mají smysl především ve srovnání s jinými podniky.
Na začátku podnikání, kterému se detailně věnujeme v projektu Jak začít podnikat, a v malých a středních podnicích úplně stačí celková zadluženost, která porovnává hodnotu závazků s celkovými pasivy (zdroji). Pozornost je potřeba jí věnovat ve chvíli, kdy dlouhodobě roste nebo je nepřiměřeně velká ve srovnání s jinými podniky v odvětví. Je ale jasné, že v technologicky náročných firmách a začínajících podnicích bude zadluženost obecně větší.
- celková zadluženost = celkové závazky / celková pasiva
Návratnost investice
Především v začátcích podnikání, zejména ve chvíli, kdy chceme získat investora, je vhodné zpracovat i ukazatele návratnosti investice. Nejjednodušším je doba návratnosti, která jednoduše říká, za kolik let se při průměrném ročním výnosu investice vrátí.
- doba návratnosti = počáteční investice / průměrný roční výnos
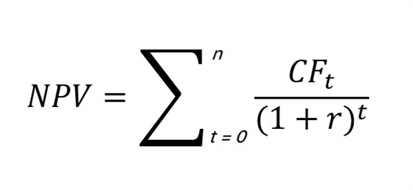
To je ale trochu triviální hodnota. Chceme-li zohlednit zúročení peněz v čase, můžeme použít čistou současnou hodnotu (NPV, Nett Present Value), která porovnává výnos s uložením peněz v bance při stanoveném úroku. Zjednodušeně řečeno porovnává NPV výnos z peněz uložených třeba na termínovaném účtu s očekávaným výnosem investice.

Čistá současná hodnota sčítá diskontovaný finanční tok (CFt) za celou dobu životnosti projektu (n). Diskontování je vyjádřeno úrokovou mírou (r). Čím vyšší čistá současná hodnota je, tím lépe, protože nám říká, kolik peněz investice celkem přinese. Pokud vyjde NPV záporně, znamená to, že na projektu proděláme a investice se nevrátí.
Vzorec sice vypadá trochu složitě, ale dobrá zpráva je, že je předpřipravený v podobě funkce v Excelu (=ČISTÁ.SOUČHODNOTA).
Zaujali jsme vás? Pokračujte...
Vybudovat, koupit, nebo propojit? Jak na firemní akvizice a fúze
Neutrácejte za nové zákazníky. Co je remarketing a proč se vaší firmě vyplatí?
Vyplatí se živnost, nebo rovnou firma? Jak se rozhodnout, když začínáte podnikat
Budou startupy motorem české ekonomiky?
Když je byznys rodu ženského… čtěte v novém Finmagu
Podnikatelek a manažerek přibývá. Jenže pomalu. Na vině jsou stále předsudky. To potvrzují i ženy, jež se na špici světového byznysu přece jen prodraly.
BYZNYS JE VĚDA
Julia Sveet je šéfkou obří společnosti Accenture, ale o spolupráci s někdejšími kolegy - muži stále nevypráví ráda. • Ana Botín zase roky musela dokazovat, že v čele banky Santander není jen kvůli svému původu. • A Mary Barra? Předsudků okusila sama tolik, až v sídle General Motors rozjela projekt, který pomáhá ženám prosadit se v IT.
BYZNYS JE HRA
Když jste vědkyně a přihlásíte se do akcelerátoru pro začínající podnikatele, musíte mít fakt hodně kuráže. Aspoň jako Kateřina Komrsková. • Do smělé hry se pustila také Šárka Hayna Fuchsová, dnes řídí Volvo Czech Republic. • A kdo musí mít odvahy na rozdávání? Každý startupista, který to nezabalí po prvním nezdaru.
Související témata
Související články
Nejčtenější články





















